-
期待 POAP 的新篇章
-
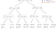
永续期权 — Block Scholes 研究报告(第二部分)
-
解剖一只龙虾:李宏毅用 OpenClaw 讲透 AI Agent 运作原理
-
PengoPay:一个让稳定币支付变得像电子邮箱一样简单的平台
-
链上房产 RWA 技术架构全解析:基于 ERC‑1155 的资产代币化、碎片化交易与自动分红实战
-
ERC-4337 智能账户:已在审计中发现的六种失效模式
-
Uniswap Hooks 威力大增
-
我花了一点时间,做了一个 cc-router:把 Claude Code 接到任意 OpenAI 兼容模型上
-
以太坊基金会新使命:技术避风港
-
你的产品不会自己卖:如何打造一支世界级的销售团队
区块链技术网


